PARAMETRIC TEST
A parametric test makes an assumption about the population and the distribution from which sample data come. it normally assumed that the population data is normally distributed or probability distribution. it has a fixed set of parameters. R.A Fisher mentioned the parametric test in his work in 1925.
Types of Parametric Test
- T-Test
- Z-Test
- F-Test
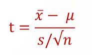
T-Test:
The T-Test is also known as the Student test (Pen name) or Welch Test. it was developed by William Gosset in 1908. This test is limited to two groups.
The T-Test is divided into the following category
- One-sample T-Test
- Unpaired T-Test
- Paired T-Test
- It is used where the sample size is n<30 or you can say it is a small sample test
- The degree of freedom V=n-1
- It is used to test the significance of the regression coefficient in the regression model
- Used where the correlation of coefficient in population is zero
- Where population variance is unknown or the population standard deviation is unknown
- Where population parameter is normal
Z- test was given by Fisher
- It is used where the sample size is n>30 or you can say it is a large sample test
- Based on standard normal distribution
- Where population variance is known or the population standard deviation is known
- it is used when the correlation coefficient of the population is not zero
F-Test is also known as the Variable ratio test given by Fisher used to the two independent estimations of the population variance.
- F- test never be negative
- To check the overall significance
- sample must be independent




